Sučany
Oficiálne stránky obce

Prerušená distribúcia elektriny 30.01.2026

Prerušená distribúcia elektriny 30.01.2026 1

Stredoslovenská distribučná spoločnosť, a.s. oznamuje občanom,
že v piatok 30. januára 2026 v čase od 07:30 do 15:30 hod.
bude v obci Sučany prerušená distribúcia elektriny
z dôvodu plánovaných prác na elektrickom vedení.

⚡ Oznámenie o prerušení distribúcie elektriny

Stredoslovenská distribučná spoločnosť, a.s. oznamuje občanom,
že v piatok 30. januára 2026 v čase od 07:30 do 15:30 hod.
bude v obci Sučany prerušená distribúcia elektriny
z dôvodu plánovaných prác na elektrickom vedení.

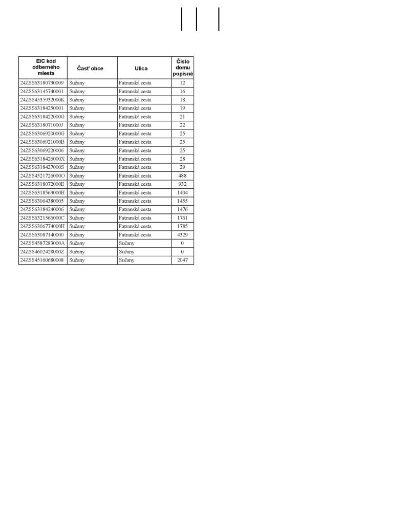
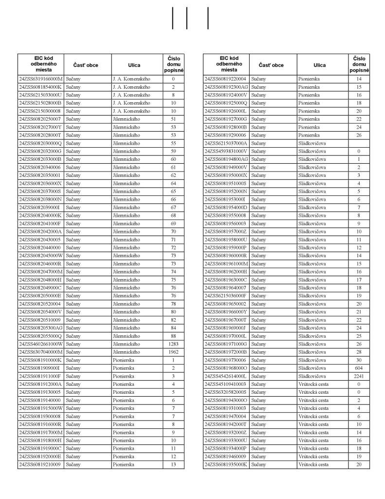
Prerušenie dodávky elektriny sa týka ulíc:

  • J.A.Komenského,
  • Jilemnického,
  • Pionierska,
  • Sládkovičova,
  • Vrútocká cesta,
  • Fatranská cesta.

Podrobné informácie o dotknutých odberných miestach (vrátane kódov elektromerov a čísiel domov) nájdete nižšie.

Ďakujeme za pochopenie.

Dátum vloženia: 28. 1. 2026 14:47
Dátum poslednej aktualizácie: 28. 1. 2026 14:57
Autor: Bc. Miriam Balážová

OBEC

Sviatky

Meniny má Svetozár , Peregrín, Peregrína

Zajtra má meniny Gizela , Andronik, Ditmar, Paskal, Andronika, Paskália

KALENDÁR AKCIÍ

Máj2026
Po Ut St Št Pia So Ne
27 28 29 1 2 3
4 5 6 7 8 9 10
11 13 14 15 16 17
18 19 20 21 22 23 24
25 26 27 28 29 30 31

POČASIE

dnes, sobota 16. 5. 2026
mierny dážď 11 °C 8 °C
nedeľa 17. 5. mierny dážď 8/6 °C
pondelok 18. 5. slabý dážď 12/5 °C
utorok 19. 5. slabý dážď 17/6 °C

FACEBOOK

Esmao