Sučany
Oficiálne stránky obce

Prerušená distribúcia elektriny 17.04.2026

Prerušená distribúcia elektriny 17.04.2026 1

Stredoslovenská distribučná spoločnosť, a.s. oznamuje občanom,
že v piatok 17. apríla 2026 v čase od 07:30 do 16:30 hod.
bude v obci Sučany prerušená distribúcia elektriny
z dôvodu plánovaných prác na elektrickom vedení.

Oznámenie o prerušení distribúcie elektriny

Stredoslovenská distribučná spoločnosť, a.s. oznamuje občanom,
že v piatok 17. apríla 2026 v čase od 07:30 do 16:30 hod.
bude v obci Sučany prerušená distribúcia elektriny
z dôvodu plánovaných prác na elektrickom vedení.

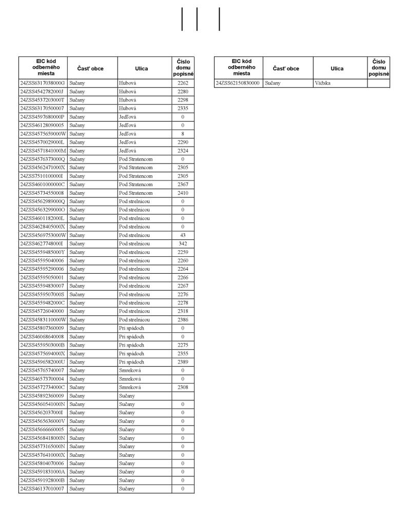
Prerušenie dodávky elektriny sa týka ulíc:

  • Hubová,
  • Jedľová,
  • Pod Stratencom,
  • Pod strelnicou,
  • Pri spádoch,
  • Smreková,
  • Vážska.

Podrobné informácie o dotknutých odberných miestach (vrátane kódov elektromerov a čísiel domov) nájdete nižšie.

Ďakujeme za pochopenie.

Dátum vloženia: 15. 4. 2026 13:42
Dátum poslednej aktualizácie: 15. 4. 2026 13:47
Autor: Bc. Miriam Balážová

OBEC

Sviatky

Meniny má Jela , Krescenc, Krescencia

Zajtra má meniny Marcel , Hvezdoň

KALENDÁR AKCIÍ

Apríl2026
Po Ut St Št Pia So Ne
30 31 1 2 3 4 5
6 7 8 9 10 12
13 14 15 16 17 18 19
20 21 22 23 24 25 26
27 28 29 1 2 3

POČASIE

dnes, nedeľa 19. 4. 2026
mierny dážď 16 °C 7 °C
pondelok 20. 4. mierny dážď 9/4 °C
utorok 21. 4. dážď so snehom 8/1 °C
streda 22. 4. slabý dážď 10/0 °C

FACEBOOK

Esmao