Sučany
Oficiálne stránky obce

Oznámenie o prerušení distribúcie elektriny dňa 08.12.2020

Oznámenie o prerušení distribúcie elektriny dňa 08.12.2020


Oznam o prerušení distribúcie elektriny


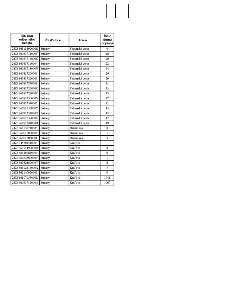
Stredoslovenská distribučná spoločnosť oznamuje, že v zmysle ustanovenia § 31 odsek 2 písm. t) zákona č. 251/2012 Z.z. o energetike a o zmene a doplnení niektorých zákonov v platnom znení, bude dňa 08.12.2020 v čase od 07:25 do 18:00 hod. v obci Sučany prerušená distribúcia elektriny z dôvodu plánovaných prác na zariadeniach distribučnej sústavy prevádzkovateľa distribučnej sústavy spoločnosti Stredoslovenská distribučná, a.s., a to pre odberné miesta a lokality na ulici:
Fatranská cesta, Hrabinská, Kráľová
Viď príloha, EIC kód elektromeru a čísla odberných miest ,kde bude prerušená dodávka el. energie

Dátum vloženia: 11. 11. 2020 14:30
Dátum poslednej aktualizácie: 11. 11. 2020 14:33
Autor: Ing. Anežka Budzáková

OBEC

Sviatky

Meniny má Fridrich , Lucius, Teofil, Friderika, Teofila

Zajtra má meniny Radoslav, Radoslava , Fridolín, Koriolán, Radislav, Radovan, Felícia, Fridolína, Radislava

KALENDÁR AKCIÍ

Marec2026
Po Ut St Št Pia So Ne
23 24 25 26 27 28 1
2 3 4 6 7 8
9 10 11 12 13 14 15
16 17 18 19 20 21 22
23 24 25 26 27 28 29
30 31 1 2 3 4 5

POČASIE

dnes, štvrtok 5. 3. 2026
takmer jasno 12 °C 4 °C
piatok 6. 3. jasná obloha 13/3 °C
sobota 7. 3. polojasno 13/4 °C
nedeľa 8. 3. oblačno 14/5 °C

FACEBOOK

Esmao