Sučany
Oficiálne stránky obce

Vyrozumenie /08.10.2020/

Vyrozumenie /08.10.2020/

Oznam o prerušení distribúcie elektriny


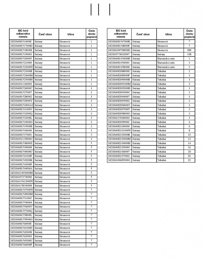
Stredoslovenská distribučná spoločnosť oznamuje, že v zmysle ustanovenia § 31 odsek 2 písm. t) zákona č. 251/2012 Z.z. o energetike a o zmene a doplnení niektorých zákonov v platnom znení, bude dňa 08.10.2020 v čase od 08:00 do 16:00 hod. v obci Sučany prerušená distribúcia elektriny z dôvodu plánovaných prác na zariadeniach distribučnej sústavy prevádzkovateľa distribučnej sústavy spoločnosti Stredoslovenská distribučná, a.s., a to pre odberné miesta a lokality na ulici:
Fraňa Kráľa, Mierová, Osloboditeľov, Podhradská cesta, Stromová, Štiavnická cesta a Tehelná.
Viď príloha, čísla odberných miest ,kde bude prerušená dodávka el. energie

Dátum vloženia: 7. 10. 2020 8:21
Dátum poslednej aktualizácie: 7. 10. 2020 8:23
Autor: Ing. Anežka Budzáková

OBEC

Sviatky

Meniny má Gregor , Teofan, Gregora, Gregoria, Gregorína

Zajtra má meniny Vlastimil , Kira, Rozína

KALENDÁR AKCIÍ

Marec2026
Po Ut St Št Pia So Ne
23 24 25 26 27 28 1
2 3 4 6 7 8
9 10 11 12 13 14 15
16 17 18 19 20 21 22
23 24 25 26 27 28 29
30 31 1 2 3 4 5

POČASIE

dnes, štvrtok 12. 3. 2026
zamračené 13 °C 6 °C
piatok 13. 3. zamračené 14/7 °C
sobota 14. 3. zamračené 12/5 °C
nedeľa 15. 3. slabé sneženie 13/4 °C

FACEBOOK

Esmao