Obec Sučany - Zjednodušená verzia stránok
Nastavenie veľkosti písma
+

AKTUALITY - vyrozumenie

vyrozumenie

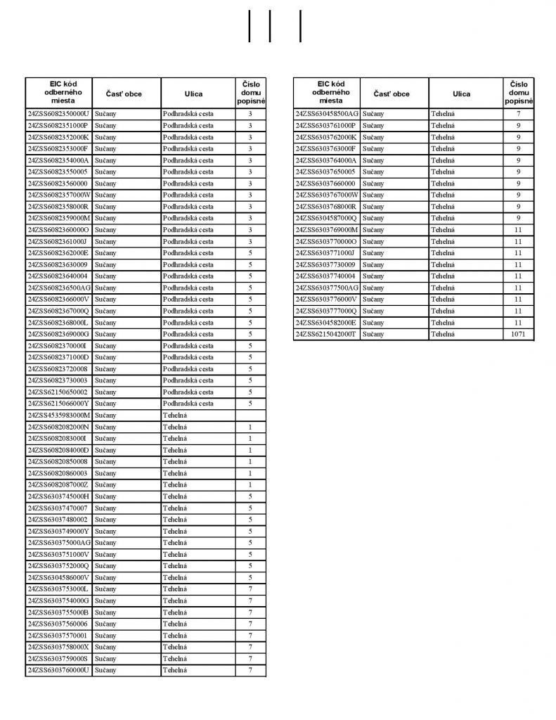
Oznámenie o prerušení distribúcie elektriny v termíne 26.9.2019 od 8:00 – 15:30 hod. na Ul. Podhradská cesta a Tehelná. Čísla odberných miest v prílohe.

Dátum vloženia: 2. 9. 2019 11:48
Dátum poslednej aktualizácie: 19. 11. 2019 22:29
Autor: Ing. Anežka Budzáková